Curves Precios 2016
Curves International, also known as Curves for Women, Curves Fitness, or just Curves, is an international fitness franchise cofounded by Gary and Diane Heavin in 1992 As of May 31, 19, Curves lists 367 franchise locations open in the United States on their Facebook page In 12, North Castle Partners, a private equity firm, purchased a controlling stake in the company.
Curves precios 2016. Member Recipes for Curves Complete Very Good 46/5 (7 ratings) BiscuitsHomemade with Complete Pancake Mix I used the Daily Chef brand complete buttermilk pancake mix I am sure most brands would be the same Also, this is making 18 biscuits so if you make them larger or smaller you will need to adjust the numbers. This Dress, Your Curves demands all the attention Rust Ruched Dress features Ruched Dramatic Sleeve;. Consulta precios de motos Yamaha FJR1300A 16 en Arpem Encuentra los mejores precios de motocicletas y seguros del mercado con nuestro comparador.
El programa Curves Complete acelera tu metabolismo para aumentar tu masa muscular, lo que te ayudará a mantener tu peso Todo esto dentro de una comunidad de. ATLANTA (AP) — Democrats won both Georgia Senate seats — and with them, the US Senate majority — as final votes were counted Wednesday, serving President Donald Trump a stunning defeat in. Find the best used 16 Toyota RAV4 near you Every used car for sale comes with a free CARFAX Report We have 3,746 16 Toyota RAV4 vehicles for sale that are reported accident free, 3,649 1Owner cars, and 4,749 personal use cars.
Created by Janet Tamaro With Angie Harmon, Sasha Alexander, Jordan Bridges, Bruce McGill Detective Jane Rizzoli and Chief Medical Examiner Dr Maura Isles team up to solve crimes in Boston. Los precios están sujetos a las condiciones de pago publicados para el año 1617 Cuenta Bancaria del colegio · Bankinter 0128 7727 64 / IBAN ES54 0128 7727 6401 0050 0154 / SWIFT CODE BKBK ESMM BANKINTER, Avda Ricardo Soriano, 65 – 1º, Marbella Málaga España. Strengthening Women Inside and Out Curves has helped women around the world get healthier and stronger with our unique fitness solution In just 30 minutes, you work every major muscle group through a proven gym program of strength training, cardio and stretching.
Member Recipes for Curves Complete Very Good 46/5 (7 ratings) BiscuitsHomemade with Complete Pancake Mix I used the Daily Chef brand complete buttermilk pancake mix I am sure most brands would be the same Also, this is making 18 biscuits so if you make them larger or smaller you will need to adjust the numbers. Estadsticas Evolución de los precios relativos de los servicios públicos al hogar en la Ciudad de Buenos Aires Años 13/16 10 05 16 1 econóicas 1 Introducción El alza permanente y sostenida en el nivel general de precios es un tema que viene afectando a la economía. No Ese gimnasio está geial para adelgazar (siemple como complemento a una dieta) Yo adelgacé 13 Kg en 4 meses y sin quedarme "fofa" Pero si ya estas delgada y lo que quieres es cojer masa muscular, tonificar y endurecer (estando ya delgada) NO te sirve, porque para eso necesitas otra dinámica más repetitiva, seria y sobretodo con máquinas con pesos (porque las de curves son hidráulicas).
Ruched Detail on Pant;. Curves ha ayudado a más de 10 millones de mujeres Busca un gimnasio Curves cerca y elige el programa que mejor te convenga. Release Date 1/13/21 Next Release Date 1/22/21 Referring Pages Natural Gas Futures Prices (NYMEX).
Curves Soulful Driving besteht aus der Paarung einzigartiger Aufnahmen von Bergpässen und Kurven mit RoadmovieGeschichten. The revolutionary Major Curves formula contains 2x the amount of active ingredients than other brands Our precise and advanced blend of 100% allnatural herbs have been shown to help increase butt size naturally, safely and effectively Major Curves is the only product in the market with Time Release technology. 21 $ $ $ $.
Release Date 1/13/21 Next Release Date 1/22/21 Referring Pages Natural Gas Futures Prices (NYMEX). Curves Irapuato, Irapuato 3,476 likes · 9 talking about this · 125 were here Curves es un gimnasio exclusivo para mujeres y el centro Fitness más grande del mundo, nuestro sistema combina ejercicio. Apuntaté a tu Club Curves más cercano y descubre un programa de entrenamiento de fuerza, actividad cardiovascular y estiramientos Quema hasta 500 calorías.
Precios Honda CRV 18 usados, según la Guía Autométrica. Get into the action with the immersive curve of UHD Its slim design is. Swanson's law is the observation that the price of solar photovoltaic modules tends to drop percent for every doubling of cumulative shipped volume At present rates, costs go down 75% about every 10 years It is named after Richard Swanson, the founder of SunPower Corporation, a solar panel manufacturer Swanson's law has been compared to Moore's law, which predicts the growing computing.
3/2 Siemens LV 10 · 16/17 Introduction Miniature Circuit Breakers 3 Overview Devices Page Application Standards 5SL miniature circuit breakers 3/3 For all 03 to 63 A applications with B, C and D tripping characteristics with a rated breaking capacity of 4500 A, 6000 A und A acc to EN 6081 EN 6081 5SY and 5SP miniature circuit. Me he apuntado al gimnasio!!!. Uno de los temas de moda en nuestro país durante los últimos meses ha sido el del incremento a los precios de los combustibles, aquí los comparamos Primero fueron los incrementos controlados mensuales, pero con la liberación de los precios en todo el país en 17, ya no estamos tan lejos de pagar pesos por un litro de carburante ¿Cuánto costaban en 16 y 17 y cuál es el.
Curves is an international fitness franchise that caters exclusively to women However, there are some states where men are allowed to join the program Curves offer a more intimate setting than the ones offered at gyms According to the Curves Company Sheet, the part designated for exercise is usually about 1,0 to 2,500 square feet. Reporte Inflación Enero 16;. Sculpted shape to pop curves, Fit True To Size Shimmy your way into the room, but make them watch you walk away Comfort Level Excellent Model Wearing a 1x.
Índice de Precios al Consumidor – 16 Información Mensual Enero Febrero Marzo Abril Presentación Inflación Enero 16;. El método curves se basa en un sistema más simple que el asa de un cubo que combina máquinas (que nunca había hecho porque siempre me han parecido un coñazo) con ejercicios aeróbicos (a lo que si estaba acostumbrada) en un circuito durante 30 minutos al ritmo que te marca una grabación que sólo emite avisos de "cambio" cada 30 segundos. Published on Jan , 16 Os presentamos el circuito de Curves Piovera, un entrenamiento de 30 minutos en el que combinamos ejercicio cardiovascular y de fuerza que es divertido, rápido y seguro.
Curve by Liz Claiborne is a lovely scent for women It features a light combination of sandalwood, water lily and citrus notes that come together to make this scent ideal for casual days spent hanging out with friends or window shopping. 2 abril, 13 19 marzo, 14 18 comentarios Hola chicas!!!. The revolutionary Major Curves formula contains 2x the amount of active ingredients than other brands Our precise and advanced blend of 100% allnatural herbs have been shown to help increase butt size naturally, safely and effectively Major Curves is the only product in the market with Time Release technology.
Published on Jan , 16 Os presentamos el circuito de Curves Piovera, un entrenamiento de 30 minutos en el que combinamos ejercicio cardiovascular y de fuerza que es divertido, rápido y seguro. Ethereum staking rewards are determined by a distribution curve (the participation and average percent of stakers) some ETH staking rewards are at % for early stakers, but will be lowered to end up between 7% and 45% annually The minimum requirements for an Ethereum stake are 32 ETH If you decide to stake in Ethereum , it means. Índice y Variaciones – Enero 16;.
Samsung KU6500 65inch 6Series 4K UHD TV (16 Model) With the KU6500 Curved TV, enjoy 4K Ultra HD resolution and High Dynamic Range (HDR) content that delivers greater depth and clarity with Auto Depth Enhancer and a fuller spectrum of color with PurColor!. Curves Olivos, Olivos 727 likes El Entrenamiento Hoy me toca cerrar una etapa para dar comienzo a otra nueva Quería dar las GRACIAS a todas y cada una de las personas que conocí en este tiempo en Curves Olivos. Etiqueta gimnasio curves opiniones Mi Reto Curves comienza la Operación Bikini!.
New 16 Smart TV Supreme UHD Dimming Samsung 55 inch KS9000 4K SUHD TV Breathtaking Color and Brightness Discover a viewing experience as breathtaking as it is exhilarating with the Samsung KS9000 4K SUHD TV Its Quantum Dot Color envelops you in our most lifelike picture yet, allowing you to escape into whatever you're watching. The average global temperature across land and ocean surface areas for 16 was 094°C (169°F) above the th century average of 139°C (570°F), surpassing the previous record warmth of 15 by 004°C (007°F) The global temperatures in 16 were majorly influenced by strong El Niño conditions that prevailed at the beginning of the year. Para continuar su visita en esta web, acepta el uso de cookies para proporcionar un contenido y un servicio adaptado a sus intereses ×.
LME Copper Contract specifications Every metal traded on the LME must conform to strict specifications regarding quality, lot size and shape Each LME tradeable contract is likewise governed by rules covering (but not limited to) prompt dates, settlement terms, traded and cleared currencies and minimum tick size. Copper Prices Historical Annual Data;. Curves Olivos, Olivos 727 likes El Entrenamiento Hoy me toca cerrar una etapa para dar comienzo a otra nueva Quería dar las GRACIAS a todas y cada una de las personas que conocí en este tiempo en Curves Olivos.
Description Used 16 Lexus RX 350 F Sport AWD for sale $27,990 65,013 miles with Leather Seats, Sunroof/Moonroof, Power Package, Navigation System, Adaptive Cruise Control, Adaptive Suspension, Premium Wheels, Premium Audio Package, Blind Spot Monitoring, Parking Sensors, Premium Package, Heated Seats, Premium Sound Package, Cold Weather Package, CarPlay, Luxury Package, Multi Zone. Estoy muy muy contenta porque estaba deseando poder hacer deporte de nuevo Me he apuntado a uno de los muchos gimnasios Curves que hay en España. Me he apuntado al gimnasio!!!.
Daily to () Monthly Jul 00 to Sep 16 () ICE Swap Rates, 10 PM (London Time), Based on Euros, 7 Year Tenor. Year Average Closing Price Year Open Year High Year Low Year Close Annual % Change;. LME Copper Contract specifications Every metal traded on the LME must conform to strict specifications regarding quality, lot size and shape Each LME tradeable contract is likewise governed by rules covering (but not limited to) prompt dates, settlement terms, traded and cleared currencies and minimum tick size.
Ya me habían hablado de los centros Curves, que son gimnasios para mujeres con un programa diseñado pensando específicamente en nuestras necesidades Su programa está pensado para que en tan solo 30 minutos consigamos aumentar nuestra fuerza y resistencia, acelerar el metabolismo, quemar grasa y tonificar el músculo. Anuncios de Carros Mazda 3 modelo 16 en venta, compara precios en Bogotá, Medellín, Cali y toda Colombia, compra tu carro usado y nuevo en Carroya. Krishea Holloway, President and CEO of Curves NA and Oceania is here to share the great news They are currently scheduled to open their doors on February 1st You'll find them at 62 West Park, Houma, LA.
Year Average Closing Price Year Open Year High Year Low Year Close Annual % Change;. Copper Prices Historical Annual Data;. Edmunds has detailed price information for the Used 16 Ram 1500 Diesel Save money on Used 16 Ram 1500 Diesel models near you Find detailed gas mileage information, insurance estimates, and more.
La curva precioconsumo es la curva que representa el conjunto de las infinitas combinaciones de equilibrio del consumidor que obtiene modificando el precio de un bien y manteniendo constante la renta, los gustos y el precio del otro bien Por ejemplo, si partimos de una situación de equilibrio del consumidor E1, dados unos precios Px y Py. Published on Jan , 16 Os presentamos el circuito de Curves Piovera, un entrenamiento de 30 minutos en el que combinamos ejercicio cardiovascular y de fuerza que es divertido, rápido y seguro. Interactive charts of West Texas Intermediate (WTI or NYMEX) crude oil prices per barrel back to 1946 The price of oil shown is adjusted for inflation using the headline CPI and is shown by default on a logarithmic scale The current month is updated on an hourly basis with today's latest value.
Fitobject = fit(x,y,fitType,Name,Value) creates a fit to the data using the library model fitType with additional options specified by one or more Name,Value pair arguments Use fitoptions to display available property names and default values for the specific library model. See full 16 Volvo XC60 specs » Rankings & Research The 16 Volvo XC60's #9 ranking is based on its score within the 16 Luxury Compact SUVs category Currently the Volvo XC60 has a score of 79 out of 10, which is based on our evaluation of 67 pieces of research and data elements using various sources. Curves Granada Centro, Granada 1,2 mil Me gusta Gimnasio/centro de fitness.
Parece que es algo que pasa seguido en Curves ya que inmediatamente dijo que en el contrato viene esta cláusula O sea aunque la gente ya no vaya y el plazo establecido en el contrato haya terminado ellos siguen cargando la tarjeta cómodamente, 499 pesos mensuales Me parece una forma poco ética y poco duradera de hacer negocios. BVAL municipal AAA curves The BVAL AAA Callable Curve (AAA), available on the Terminal, is a transparent, objective and timely AAArated yield curve designed to meet the demands of today’s market. 2 abril, 13 19 marzo, 14 18 comentarios Hola chicas!!!.
Chelsea Curves Construction lookahead through Dec 12 by Record Staff • December 3, • 0 Comments This is a brief overview of construction operations and traffic impacts for the Tobin Bridge/Chelsea Curves Rehabilitation Project. Mi historia de éxito en Curves Comenzó en el año 11 en Curves Sabaneta, Colombia pesando 163 libras (7393 kg) Llegué a Guatemala en 16 pesando 141 libras (6395 Kg) decidí buscar un Curves cerca y llegué a Curves Zona 15. Informe Ejecutivo – Enero 16;.
ASOS DESIGN will get you ready for summer with swimwear that embraces your curves Missguided Plus has a wide range of dresses, from plussize maxi dresses to flattering mini wrap styles, while In The Style Plus is your goto for midis Whatever you're looking for, browse our plussize clothing range and get the look you love. το πρόγραμμα των curves είναι βολικό, συνδυάζει την μυϊκή ενδυνάμωση με την αερόβια άσκηση και τις διατάσεις – όλα αυτά σε 30 μόνο λεπτά – για να ενδυναμώσετε όλο σας το σώμα. Índice de Precios al Consumidor – 16;.
Estoy muy muy contenta porque estaba deseando poder hacer deporte de nuevo Me he apuntado a uno de los muchos gimnasios Curves que hay en España. Comprobación del Cálculo del IPC Nacional por parte del usuario. LISTA DE PRECIOS 16 PRODUCTO DESCRIPCION PRECIO DISTRIBUIDOR ANTIDOPING Tirilla Individual InstantView COC, THC, AMP, Mamp, BZO, PCP, OPI, BAR.
Description Used 16 Lexus RX 350 F Sport AWD for sale $27,990 65,013 miles with Leather Seats, Sunroof/Moonroof, Power Package, Navigation System, Adaptive Cruise Control, Adaptive Suspension, Premium Wheels, Premium Audio Package, Blind Spot Monitoring, Parking Sensors, Premium Package, Heated Seats, Premium Sound Package, Cold Weather Package, CarPlay, Luxury Package, Multi Zone.

Events Archives Es Page 2 Of 2 Ventus Ventus Blog Blog Da

Presentacion Threadneedle Funds Experience 16
Gale Onefile Informe Academico Document The Natural Yield Curve In Brazil A Curva De Juros Natural No Brasil
Curves Precios 2016 のギャラリー

Duck Curve Wikipedia

Curve Panel 60 Premiere Eliacoustic

Venta De Franquicias Curves Todos Los Derechos Reservados Para Curves Internacional
Maya 16 Selection In Maya 17 Autodesk Community Maya

Chart 40 Year Cost Curve Shows Copper Price Rout Likely Over Mining Com

Graphs Of Logarithmic Growth Curves Bitcoin Price At 170k In 28 Infocoin
Is Lopez Obrador Really A Danger For Mexico Quora

Here S How Electric Cars Will Cause The Next Oil Crisis

Hp Envy 34 Curved All In One Computer

Australian Carbon Credit Units Market Update October 19

Hyperinflation In Venezuela Wikipedia
Q Tbn And9gcqugmwpm9anfxglxvzuhl0jvmyxuigwvbfq Zbasxtre4lflf T Usqp Cau

Cross Modal Graphic Retrieval Talking About Spgcm Programmer Sought

12 3 The Curious Case Of The Negative Prices Ebf 4 Introduction To Electricity Markets

16 Nissan Rogue Values Cars For Sale Kelley Blue Book
16 Jeep Renegade

Higher Order Weierstrass Points On Genus Two Curves Farahat Mohamed Amazon Com Books

Chile How Wind And Solar Are Reshaping The Use Of Dispatchable Generation Antuko

Samsung Ue55ks7500 Review 4k Hdr And Curves This Tv Has It All Expert Reviews

Barbott Presenten El Seu Disc Curves A Barcelona Primera Fila

The Detroit Dd15 Diesel Engine Demand Detroit Freightliner Trucks
Http Repositori Uji Es Xmlui Bitstream Handle Tfg 17 Morosfelix Jorgeenrique Pdf Sequence 1

Smart Tv 3d Led Curved 48 Full Hd Samsung Un48h6800 Pt Br Youtube

The Causes And Effects Of Negative Power Prices Clean Energy Wire

Woodway Curve Youtube
Www Imf Org Media Files Publications Wp 18 Wp Ashx

Modelling And Simulation Of The Wood Biomass Supply From The Sustainable Management Of Natural Forests Sciencedirect

Duck Curve Wikipedia

Pdf Phillips Curves With Observation And Menu Costs Semantic Scholar

Module Price Index Pv Magazine International

65 Class Ku650d Curved 4k Uhd Tv 16 Model Tvs Un65ku650dfxza Samsung Us

Gasoline Prices Tend To Have Little Effect On Demand For Car Travel Today In Energy U S Energy Information Administration Eia
Gale Onefile Informe Academico Document The Natural Yield Curve In Brazil A Curva De Juros Natural No Brasil

Short Sales Miller Samuel Real Estate Appraisers Consultants Part 17
4k Curved Tv Slim Hdr Android Tv Sd85 Sony Ee

Module Price Index Pv Magazine International

Concept One Curve La Cadillac Escalade Mas Deseada

Extreme Precipitation Events In Northern California During Winter 16 17 Multiscale Analysis And Climatological Perspective In Monthly Weather Review Volume 148 Issue 3

Growth Without Inflation What Does The Phillips Curve Tell Us Caixabank Research

E

Lg 65ec9700 65 Inch Curved 4k Oled Tv W Webos Lg Usa

Here S How Electric Cars Will Cause The Next Oil Crisis

Substitute Good Indifference Curve Complementary Price Discrimination Discriminacion De Precios Segundo Grado Rectangle Indifferent Transparent Png

Buy Samsung Galaxy 16 Curve Tempered Glass Screen Protector Screen Guard Online 98 From Shopclues
Normal Distribution Versus Fat Tails Business Insider

Fuera De Serie Spain Alcarol

Bitcoin Btc Halving History With Charts Dates Coinmama
Http Repositori Uji Es Xmlui Bitstream Handle Tfg 17 Morosfelix Jorgeenrique Pdf Sequence 1

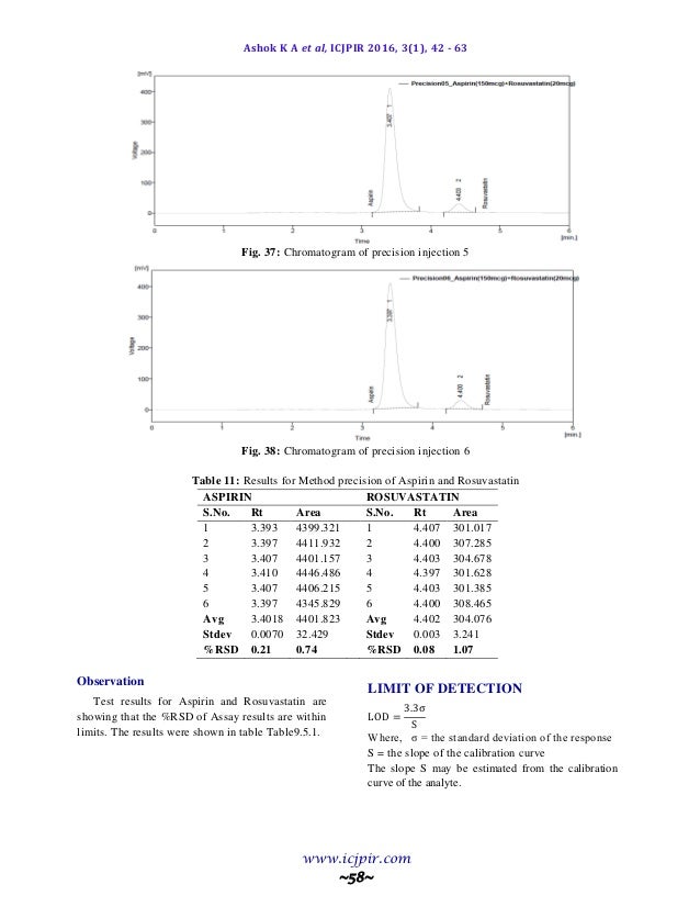
New Rp Hplc Method For The Simultaneous Estimation Of Rosuvastatin An

A Behind The Scenes Take On Lithium Ion Battery Prices Bloombergnef
Craftsman 25cc 2 Cycle Curved Shaft Gas Trimmer Edger

Brent Crude Oil Prices 10 Year Daily Chart Macrotrends

Energies Free Full Text Toward A Low Carbon Transport Sector In Mexico Html
Natural Curves 493 Mg 60 Tablets By Biotech Corporation At The Vitamin Shoppe

Used 16 Hyundai Genesis Coupe Prices Reviews And Pictures Edmunds

The Collapse Of Oil Prices Magnus Commodities

Differential Geometry Of Curves And Surfaces Revised And Updated Second Edition Dover Books On Mathematics Do Carmo Manfredo P Amazon Com Books

Gionee Teaser Hints At Upcoming Smartphone With 7000 Mah Battery Technology News The Indian Express
1

Registrars House Prices Up 6 65pc In 15 Using Their Methodology

Stephanie Ruyle On Instagram Want To Learn How Felicityquilts And I Showed Off Our Curves Our Beesewcial Blocks For This Mon Quilting Tips Curves Tutorial

Registrars House Prices Up 6 65pc In 15 Using Their Methodology

London Metal Exchange Global Relevance Of Lme Steel Scrap In A Constantly Evolving Market

A Behind The Scenes Take On Lithium Ion Battery Prices Bloombergnef

The Collapse Of Oil Prices Magnus Commodities

Amazon Com Curve For Men Cologne Spray Spicy Woody Magnetic Scent For Day Or Night 4 2 Ounce Beauty

Curve Bench Single Live Edge Slab Of Walnut Mitred And Curved To Form The Legs With A Steel Cable Stretcher Firs Wooden Dining Bench Curved Bench Furniture

Pdf Predicting Probability Of Customer Churn In Insurance

Lg 55ec9300 55 Inch Curved Oled Tv Lg Usa

Samsung 65 Class 7 Series Curved Led 4k Uhd Smart Tizen Tv Un65ru7300fxza Best Buy

Lg Oled55c6p C6 55 Inch Class Curved Oled 4k Tv Lg Usa

Chart 40 Year Cost Curve Shows Copper Price Rout Likely Over Mining Com

Housing Price Statistics House Price Index Statistics Explained

Siux Curve Siux Padel
Www Imf Org Media Files Publications Wp 18 Wp Ashx

Gmx Frameset Curve Cycling

Bitcoin Price Will Be 0 000 Within A Year Predicts Willy Woo Latest News Breaking News Top News Headlines

Module Price Index Pv Magazine International

Pdf The Arithmetics Of Par Spot And Forward Curves

Lower Oil Prices Lead To Higher Co2 Emissions

Ercot To Retain Scarcity Pricing Even If Peaker Net Margin Threshold Crossed S P Global Platts

Keller Bliesner Engineering

Modelling The Growth Curve Of Santa Ines Sheep Using Bayesian Approach Sciencedirect

Htf Double Logarithmic Curves Oscillator Indicador Por Quantadelic Tradingview

Global Aluminium Smelters Production Costs On Decline Asociacion Nacional De Fabricantes De Productos Refractarios Materiales Y Servicios Afines

Hyprop 2 Soil Moisture Release Curves Meter Environment

The Causes And Effects Of Negative Power Prices Clean Energy Wire

16 Chevrolet Traverse Prices Reviews Pictures U S News World Report
1
Q Tbn And9gctbkimtu1y5gnnpkbiyumdufhg A8io9laatjspljypd3vcgw0o Usqp Cau

Tasas De Politica Monetaria Implicitas Extraidas De La Curva Swap En Pesos Chilenos

Wti Crude Oil Prices 10 Year Daily Chart Macrotrends
Nissan To Release New Serena

Pdf The Arithmetics Of Par Spot And Forward Curves
:fill(ffffff)/http%3A%2F%2Fstatic.theiconic.com.au%2Fp%2Felli-jewelry-2720-114219-1.jpg)
Earrings Earcuff Curved Geo Basic 925 Sterling Silver Gold Plated By Elli Jewelry Online Gov Australia

The Relationship Between Stocks And Oil Prices

The Shape Of The Glucose Response Curve During An Oral Glucose Tolerance Test Heralds B Cell Function In A Large Chinese Population Bmc Endocrine Disorders Full Text

16 Volvo Xc60 Prices Reviews Pictures U S News World Report

Woodway Curve Review 21 Treadmillreviews Net

Module Price Index Pv Magazine International

16 Mazda Mazda3 Review Ratings Specs Prices And Photos The Car Connection