2 Metil 2 Propanol + Hcl
27 A synthesis of 2,5dimethyl2hexanol from 2methylpropene requires the formation of two fourcarbon intermediates, X and Y These intermediates combine to give the desired product after the usual hydrolysis workup Select appropriate methods of preparing X and Y from 2methylpropene A) X add HBr, then react with Mg in ether Y add water, acidcatalysis.
2 metil 2 propanol + hcl. Next, add 2 drops of 2methyl2propanol to the appropriate tube Immediately, stir the mixture for a few seconds and place it in the rack The mixture will promptly separate into a clear lower layer and a cloudy upper layer. Symbol which looks like a small house Solid circle with an upward pointer in it Jump to content. 2methylbutan2ol is a tertiary alcohol that is propan1ol in which both of the hydrogens at position 1 have been replaced by methyl groups It has a role as a protic solvent It is a tertiary alcohol and an aliphatic alcohol.
2Methyl2propanol, Trimethyl carbinol Colorless solid or liquid (above 77°F) with a camphorlike odor Note Often used in aqueous solutions. A nucleophilic displacement occurs on hydroxyl, giving 2chloro2methylpropane (CH3)3COH HCl > (CH3)3CCl H2O Why does it turn cloudy?. And could you explain how to draw the structural formula?.
To the aluminum amalgam there was added 295g methylamine hydrochloride (044 mol, 3 eqv) dissolved in 30ml hot water, 75 ml isopropanol, 70ml 25% aqueous NaOH (044 mol), 1975g (0147 mol) phenyl2propanone (P2P) and finally 175ml isopropanol. Thus, hydrolysis of tertbutyl chloride in a mixed solvent of water and acetonitrile gives a mixture of 2methyl2propanol (60%) and 2methylpropene (40%) at a rate independent of the water concentration The alcohol is the product of an S N 1 reaction and the alkene is the product of the E1 reaction The characteristics of these two reaction mechanisms are similar, as expected. Synonym 22(4Amino3,5dichlorophenyl)2hydroxyethylamino2methyl1propanol hydrochloride Empirical Formula (Hill Notation) C 12 H 18 Cl 2 N 2 O 2 · HCl Molecular Weight.
Gottlieb, K, Highpressure heatflow calorimeter determination of the enthalpy of reaction for the synthesis of methyl tbutyl ether from methanol and 2methylpropene, J Chem Thermodyn, 1985, 17,. Synonym 22(4Amino3,5dichlorophenyl)2hydroxyethylamino2methyl1propanol hydrochloride Empirical Formula (Hill Notation) C 12 H 18 Cl 2 N 2 O 2 · HCl Molecular Weight. In each case a base is used to "mopup" the acidic byproduct.
Polar protic solvents are compounds that can be represented by the general formula ROH of which water (H 2 O), methanol (CH 3 OH) and acetic acid (CH 3 COOH) are examples Watersoluble alcohols, lowmolecular weight products, are solvents for the manufacture of coatings, dyes and inks, plastics, flavorings, personalcare products. Used mostly for 1 o and 2 o ROH (via S N 2 mechanism);. Used mostly for 1 o and 2 o ROH (via S N 2 mechanism);.
Search results for 2methyl2propanol at SigmaAldrich Compare Products Select up to 4 products *Please select more than one item to compare. Next, add 2 drops of 2methyl2propanol to the appropriate tube Immediately, stir the mixture for a few seconds and place it in the rack The mixture will promptly separate into a clear lower layer and a cloudy upper layer. To the aluminum amalgam there was added 295g methylamine hydrochloride (044 mol, 3 eqv) dissolved in 30ml hot water, 75 ml isopropanol, 70ml 25% aqueous NaOH (044 mol), 1975g (0147 mol) phenyl2propanone (P2P) and finally 175ml isopropanol.
Perhaps (CH3)3CCl is insoluble in acidic solution. Reaction type Nucleophilic Substitution (S N 1 or S N 2) Summary Alcohols can also be converted to alkyl chlorides using thionyl chloride, SOCl 2, or phosphorous trichloride, PCl 3;. When 2methyl2propanol is treated with sulfuric acid, 2methylpropene is formed Show all of the steps in the mechanism for this reaction Don't forget to use curved arrows to show the movement of electrons in each step of themechanism Students also viewed these Organic Chemistry questions.
Test tube has no color change, clear liquid 2 2butanol;. How many moles of (i) 2 methyl2propanol, and (ii) HCL, are used in the synthesis of 2chloro2methylpropane (assume 100 mL of the alcohol and work out the mass using the density from SI data) im so confused, im pretty sure it has something to do with the elimination reaction. Tube tube was white and murky.
What is the product of 2methyl2propanol and hydrochloric acid?. What is the equation for the reaction of 2methyl2propanol with concentrated hydrochloric acid?. 2metil1buteno c) Escriba la reaccion del 2−metil−2−buteno con ácido clorhídrico (HCl) Nombre el producto mayoritario e indique qué tipo de reacción es Al reaccionar 2metil2buteno con ácido clorhídrio se producen dos derivados clorados CH₃.
2Methyl1phenylpropan1ol 2Methyl1phenyl1propanol 2methyl1phenylpropanolalphaIsopropylbenzyl alcohol. What happens when 2methyl2propanol reacts with HCL?. 2Metil2butanol (tercamil alkohol, 2M2B, amilen hidrat) je jedan od izomera amil alkoholaOn je čista, bezbojna tečnost sa jakim mirisom peperminta ili kamfora Kod ljudi on ispoljava sedativno, hipnotičko, i antikonvulsivno dejstvo slično etanolu pri gutanju ili udisanju Ranije je korišten u medicini za te svrhe On je aktivan u dozama u opsegu od mg, te je puta.
Dehydration of tAmyl Alcohol (2Methyl2Butanol) Background In the presence of a strong acid, alcohols will protonate This turns a bad leaving group (hydroxide) into a good leaving group (water) After protonation of a tertiary alcohol, a water molecule leaves with a pair of electrons creating a carbocation O C C H 3 C H 3 C H 3 H. Explain why 1propanol has a higher boiling point than 2propanol It is easier for 1propanol to form hydrogen bonds than it is for 2propanol Rank the following in order of increasing ability to form hydrogen bonds 1hexanol, 4methyl2pentanol, 2methyl2pentanol. A) 2ethoxy2methyl1propanol B) 1ethoxy2methyl2propanol C) 2ethoxy2methyl2propanol D) 2ethoxy1butanol E) 1ethoxy2butanol A THIS SET IS OFTEN IN FOLDERS WITH.
Featured suppliers/resources for 2Methyl1propene List your site here Henan Tianfu Chemical Co,Ltd Manufacturer China In 11 we entered the Fine Chemical market of Noble Metal Catalyst ,Organic Phosphine Ligands and OLED intermediatesWith the joint efforts of our senior experts and professional technicians, Tianfu has developed more. 2Methyl2propanol has bp °C and mp 25 °C In cold weather it is therefore solid at room temperature SAFETY Materials Nature 2methyl2propanol 2chloro2methylpropane hydrochloric acid calcium chloride Indicate, by signing, that you have understood the information in the safety table I understand the safety information. No You have shown the reaction with tbutyl alcohol and HCl The compound you mention,2methyl2butanol has a different structure Reaction C4H9OH HCl > C4H9Cl H2O.
Answer Save 1 Answer Relevance Albert Lv 4 9 years ago Favorite Answer Alcohol plus HCl strong acid will follow SN1 mechanism The electronegative O has two lone pairs, one of which will attack the acid The alcohol. Write equations for the reaction of 1butanol, 2butanol, and 2methyl2propanol with KMnO4 Use structural formulas for the organic compounds Equations do not have to be balanced If no reaction, state NR. Test tube has no color change, clear liquid 2 2butanol;.
2AMINO2METHYL1PROPANOL is an organic compound with both amine and alcohol substituents Amines are chemical bases They neutralize acids to form salts plus water These acidbase reactions are exothermic The amount of heat that is evolved per mole of amine in a neutralization is largely independent of the strength of the amine as a base. A nucleophilic displacement occurs on hydroxyl, giving 2chloro2methylpropane (CH3)3COH HCl > (CH3)3CCl H2O Why does it turn cloudy?. 2Amino2methyl1propanol hydrochloride Synonym βAminoisobutyl alcohol hydrochloride, AMP CAS Number Linear Formula NH 2 C(CH 3) 2 CH 2 OH · HCl Molecular Weight Beilstein/REAXYS Number EC Number MDL number MFCD PubChem Substance ID.
Tube tube was white and murky. Alkyl bromides can be prepared in a similar reaction using PBr 3;. Answer Save 4 Answers Relevance Smooth Liar Lv 4 1 decade ago Favorite Answer When Alcohol is mixed with acids, the halogen part of the acid replaces the hydroxyl part of the alcohol what you obtain is known as a Halogenoalkane.
If you look at the structure of 2methyl2propanol, you can see that the carbon attached to the alcohol (OH) is a tertiary carbon, attached to 3 other carbons Because butanol isomers react with. Perhaps (CH3)3CCl is insoluble in acidic solution. Test tube had two layers formed, top lawer lookes white and oily 3 2methyl2propanol (tertbutanol);.
K2Cr2O7 2propanol CH3 C H3C O propanone 2 H Primary Alcohol aldehyde water carboxylic acid hydrogen ions KMnO4 K2Cr2O7 H2O 1propanol CH3CH2CH2OH C C C O propanal H H H H H H KMnO4 K2Cr2O7 propanoic acid C C C O H HO H H H H 2 H 6 AcidBase Reactions CH3OCH2CH3 2 HCl H3CCl ClCH2CH3 H2O. Chlorobutanol (trichloro2methyl2propanol) is a preservative, sedative, hypnotic and weak local anesthetic similar in nature to chloral hydrate It has antibacterial and antifungal properties Chlorobutanol is typically used at a concentration of 05% where it lends long term stability to multiingredient formulations. Search results for 2 methyl 2 propanol at SigmaAldrich Compare Products Select up to 4 products *Please select more than one item to compare.
Alcohols are "protic" solvents Protic refers to a hydrogen atom attached to an electronegative atom, oxygen Polar protic solvents are compounds that can be represented by the general formula ROH of which water (H 2 O), methanol (CH 3 OH) and acetic acid (CH 3 COOH) are examples Watersoluble alcohols, lowmolecular weight products, are. Under the hood, mL of HClZnCl 2 reagent was added to each test tube, sealed with parafilm and shaken for around five seconds Each of the test tubes was set at room temperature and observed for any possible reactions 2methyl2propanol was the first to show signs of a reaction, forming a cloudy white precipitate within one minute of shaking. Isopropyl alcohol (IUPAC name propan2ol;.
2methyl2propanol with hydrochloric acid produces tbutylchloride in an sn1 reaction what is the structure of the product that is formed in the E1 reaction, which is the competing reaction Show the mechnaism how this byproduct is produced from the starting materials. Symbol which looks like a small house Solid circle with an upward pointer in it Jump to content. Chlorobutanol (trichloro2methyl2propanol) is a preservative, sedative, hypnotic and weak local anesthetic similar in nature to chloral hydrate It has antibacterial and antifungal properties Chlorobutanol is typically used at a concentration of 05% where it lends long term stability to multiingredient formulations.
125) What compound is formed when 2,2dimethyloxirane is treated with ethanol containing a trace of HCl?. Reaction type Nucleophilic Substitution (S N 1 or S N 2) Summary Alcohols can also be converted to alkyl chlorides using thionyl chloride, SOCl 2, or phosphorous trichloride, PCl 3;. Also called isopropyl, isopropanol, or 2propanol) is a colorless, flammable chemical compound (chemical formula CH 3 CHOHCH 3) with a strong odor As an isopropyl group linked to a hydroxyl group, it is the simplest example of a secondary alcohol, where the alcohol carbon atom is attached to two other carbon atoms It is a structural isomer of 1.
In the experiment, you will be preparing 2chloro2methylpropane (tertbutyl chloride) from 2methyl2propanol (tertbutyl alcohol) via an S N 1 reaction Procedure You will follow the procedure from the text (pages ) Note that you will be using 2methyl2propanol instead of 1methyl2butanol However, all other reagents remain the same. The the following alcohol was reacted with hydrochloric acid in presence of zinc chloride (HClZnCl2) and the result 1 1butanol;. Question 2Methyl2propanol, (127 ML;.
Lucas test in alcohols is used to differentiate between 1 degree,2 degree & 3 degree alcohols The test is carried with the help of Lucas reagent (ie a solution of anhydrous AlCl3 & conc HCl) In case of 3 degree (tertiary) alcohol eg 2methyl, 2 propanol, instantaneous turbidity occurs in the solution. CONSIDERATIONS ON THE ACTIVITY OF A VASODILATOR 1(PHYDROXYPHENYL)2(1METHYL2PHENOXYETHYLAMINE)PROPANOL1HYDROCHLORIDE (DUVADILAN) Article in Italian ANFOSSI F, GUARRAGGI A PMID PubMed indexed for MEDLINE MeSH Terms 1Propanol* Arteriosclerosis Obliterans* Cardiovascular Agents* Diabetic Angiopathies* Geriatrics* Humans. Lucas test in alcohols is used to differentiate between 1 degree,2 degree & 3 degree alcohols The test is carried with the help of Lucas reagent (ie a solution of anhydrous AlCl3 & conc HCl ) In case of 3 degree (tertiary) alcohol eg 2methy.
Test tube had two layers formed, top lawer lookes white and oily 3 2methyl2propanol (tertbutanol);. Note that you will be using 2methyl2propanol instead of 1methyl2butanol However, all other reagents remain the same You should double all quantities listed in the procedure Shake the tbutyl alcohol with HCl Be sure to vent the separately funnel to avoid pressure build up. The chemical equatuion is (CH3)3COH HCl = (CH3)3CCl H2O Chemical equation for hydrochloric.
K2Cr2O7 2propanol CH3 C H3C O propanone 2 H Primary Alcohol aldehyde water carboxylic acid hydrogen ions KMnO4 K2Cr2O7 H2O 1propanol CH3CH2CH2OH C C C O propanal H H H H H H KMnO4 K2Cr2O7 propanoic acid C C C O H HO H H H H 2 H 6 AcidBase Reactions CH3OCH2CH3 2 HCl H3CCl ClCH2CH3 H2O. Sequences, and the preparation of 2methyl2chlorobutane is a classic experiment1,2 Variations of this experiment have been published to produce a solid product3 Furthermore, there are laboratory experiments based on substitution reactions that are discovery in nature, particular on the role of. SN1 SN2 (Williamson Ether Synthesis) Due Dates 6 Mar / 7 Mar A/B Chemical Safety Information SN1 2methyl2butanol hydrochloric acid 2chloro2methylbutane sodium chloride sodium bicarbonate magnesium sulfate deuterated chloroform dichloromethane SN2 2,6dimethylphenol 1bromopropane 2bromopropane sodium hydroxide ethanol Experimental Spectra SN1 Sample 1HNMR SN1 product 2methyl2.
Transfer the 2methyl2propanol to the separatory funnel and add concentrated hydrochloric acid from a measuring cylinder (60 mL, 10 M, kept in fume hood) Swirl the funnel until the two liquids are thoroughly mixed Stopper the funnel, invert it and immediately relieve the pressure by opening the tap. The OH group belonging to the alcohol is protonated by the hydrochloric acid Now, since chlorine is a stronger nucleophile than water, it replaces the resulting water molecule attached to the carbon This leads to the formation of a carbocation Step 2 The chloride anion now attacks the carbocation and forms an alkyl chloride This alkyl. D=079 g/ml) was reacted with 300 mL of concentrated hydrochloric acid (d=119 g/mL) A total of 108 grams of pure 2chloro2methylpropane was obtained fromthe reaction Complete the following (C=12, H=1, O=16, Cl=35) (show your work) 1 Write the structural equation of this reaction.
Alkyl bromides can be prepared in a similar reaction using PBr 3;. D=079 G/ml) Was Reacted With 300 ML Of Concentrated Hydrochloric Acid (d=119 G/mL)A Total Of 108 Grams Of Pure 2chloro2methylpropane Was Obtained Fromthe Reaction Complete The Following (C=12, H=1, O=16, Cl=35) (show Your Work)1 Write The Structural Equation Of This Reaction2 Calculate The Theoretical Yield. In the experiment, you will be preparing 2chloro2methylpropane (tertbutyl chloride) from 2methyl2propanol (tertbutyl alcohol) via an S N 1 reaction Procedure You will follow the procedure from the text (pages ) Note that you will be using 2methyl2propanol instead of 1methyl2butanol However, all other reagents remain the same.
The the following alcohol was reacted with hydrochloric acid in presence of zinc chloride (HClZnCl2) and the result 1 1butanol;. Favorite Answer When Alcohol is mixed with acids, the halogen part of the acid replaces the hydroxyl part of the alcohol what you obtain is known as a Halogenoalkane you'll get 2 chloro 2. ISOPROPANOL reacts with air or oxygen to form dangerously unstable peroxides Contact with 2butanone increases the rate of peroxide formation An explosive reaction occurs when it is heated with (aluminum isopropoxide crotonaldehyde) Forms explosive mixtures with trinitromethane and hydrogen peroxide.
2butanol gets oxidized to 2 Butanone Considering step 2)2butanol has 2Carbon attached to 1 H and 1 OH But 2methyl2propanol is a tertiary alcohol hence it wont get oxidizedHence no reaction Hope that helpedCheers.
Soal Kimiakarbon Pdf
Http Www 6con02 Com Data Cursos Bto2 Eje Evau Organica Pdf

Tuliskan Reaksi Yang Terjadi Antara 2 Metil 2 Propanol Dengan Oksidator Kmno4 Dan H2so4 Pekat Brainly Co Id
2 Metil 2 Propanol + Hcl のギャラリー

Tuliskan Persamaan Reaksinya Dan Berikan Nama Senyawa Yang Dihasilkan A 2 Metil 2 Butena H2 B Brainly Co Id

Sma Kristen Petra 5 Surabaya Ppt Download
Q Tbn And9gctzhfv30gm3 1zcpjwsfqaizd14rk0wuzv2ym6xrbn4vhw4lzwk Usqp Cau

2 Methyl 2 Butene Wikipedia

Rangkuman Materi Contoh Soal Tatanama Isomer Senyawa Karbon

Semana Alcoholes Fenoles Ppt Descargar

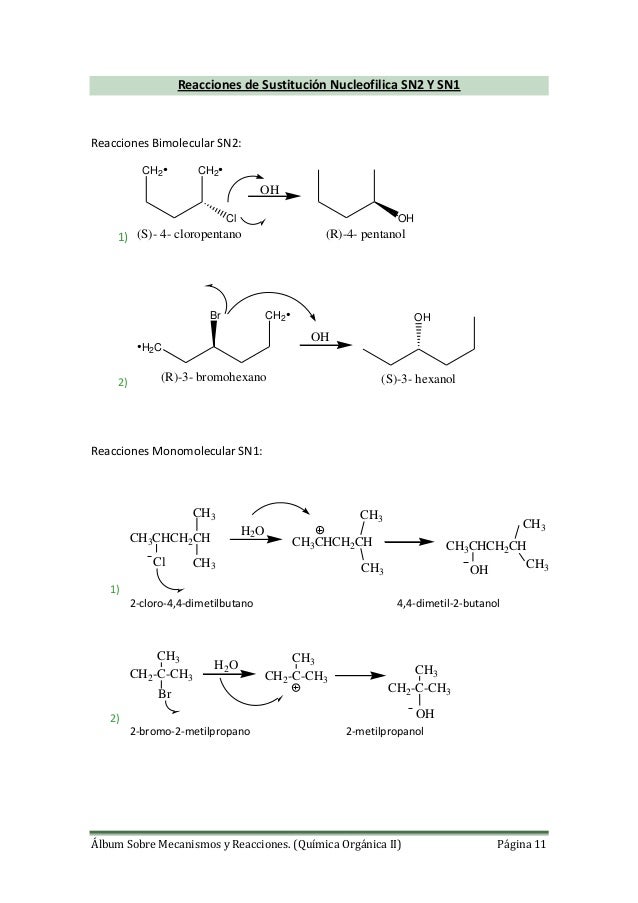
Quimica Organica Ii

Nomenclatura Mecanismo Y Reacciones Quimica Organica Ii

Practica Nº Alcoholes

Alcoholes Eteres Y Tioles Ppt Video Online Descargar

Quimica Organica Ii
Http Www 6con02 Com Data Cursos Bto2 Eje Evau Organica Pdf
1r 1 Amino 2 Methyl 1 Phenyl 2 Propanol Hydrochloride 1 1 C10h16clno Chemspider

Reacciones De Alcoholes

Rangkuman Materi Contoh Soal Tatanama Isomer Senyawa Karbon
1 Propanol 2 Dimethylamino 2 Methyl Hydrochloride C6h16clno Pubchem
Electro Qu I Mica

Antiremed Kelas 12 Kimia O 2 Metil 1 3 Butadiena 3 1 4 Heksadiena 4 1 3 Heksadiena 5 Suatu Hidrokarbon Dengan Rumus C 6 H 12 Menpunyai Isomer Geometri Dan Bila Dioksi Pdf Document

Reacciones De Compuestos Organicos Ppt Video Online Descargar

Reacciones De Alcoholes
Http Www Doiserbia Nb Rs Ft Aspx Id 1451 k
Alkoholi Alkoholi Su Jedinjenja Koja Sadrze Hidoksilnu Grupu Oh Vezanu Za Sp 1 Dokaz Strukture Alkohola

1 Chloro 2 Methyl 2 Propanol 97 558 42 9 Sigma Aldrich
Http Www Doiserbia Nb Rs Ft Aspx Id 1451 k

Alcoholes Fenoles Tioles Y Eteres Ppt Descargar

Reacciones Alquenos Reacciones Con El 2 Metil 1 Penteno Youtube

Hasil Oksidasi 3 Metil 2 Butanol Adalah Brainly Co Id
1 Chloro 2 Propanol C3h7clo Pubchem

Alcoholes Fenoles Tioles Y Eteres Ppt Descargar

Reaksi Reaksi Alkohol Turunan Alkana Amaldoft

3 Cloro 3 Metil 1 Buteno Wikipedia La Enciclopedia Libre

1 Chloro 2 Methyl 2 Propanol 97 558 42 9 Sigma Aldrich
2 Amino 2 Methyl 1 Propanol C4h11no Pubchem
Alcohols And Ethers

Sintesis De Cloruro De Terbutilo Informe San Marcos Docsity

Laboratorio De Quimica Docsity

Gambar Struktur Dari Alkanol 1 2 Metil 2 Pentanol 2 3 Metil 2 Butanol Brainly Co Id

Quimica Organica Ii

Cas No 865 48 5 2 Propanol 2 Methyl Sodium Salt 1 1 Suppliers
Http Www 6con02 Com Data Cursos Bto2 Eje Evau Organica Pdf
Q Tbn And9gctowbhwcyuoejxfbaqmmfg Bzpyhigazzuhuulnghwok6onc7sn Usqp Cau

Organska Hemija Alkoholi Docsity
Qmk Com Level Jimdo Com App Download Qu C3 8dmica Org C3 81nica Pdf T

Persamaan Reaksi 2 Metil 2 Butanol Hcl Brainly Co Id

Alkene Reactivity

Universidad Autonoma De Yucatan Ppt Descargar

Common Classes Of Organic Compounds

2 Amino 2 Methyl 1 Propanol Hydrochloride For Synthesis 37 12 3 Sigma Aldrich
Http Www Doiserbia Nb Rs Ft Aspx Id 1451 k

1 Cloro 2 Metil 1 Propeno Wikipedia La Enciclopedia Libre

Exam 2 Answer Key

Alkohol R Oh 1 Tata Nama 2 Reaksi Reaksi 3 Manfaat Ppt Download

Reaksi Reaksi Alkohol Turunan Alkana Amaldoft

In The Addition Of Hx To A Double Bond The Hydrogen Goes To The Carbon That Course Hero
3 Amino 2 Methyl Propan 1 Ol Hcl C4h12clno Chemspider

Reacciones De Alcoholes

Quimica Organica Ii Grupos Funcionales Aprendizaje U Chile

Tert Butanol Wikipedia

Oneclass Ifthe Reaction Of 2 Methyl 2 Butanol Hcl To Give 2 Chloro 2 Methylbutane Is Conducted In

Gugus Fungsi Isomer Dan Reaksi

Sn1 Reaction Between 2 Methyl 2 Propanol And Hcl Youtube
Q Tbn And9gctzcmwn30uvvleqgosspxy8ohrt373tnsvog66tu8vr Ttz7gvn Usqp Cau
3 Methyl 2 Butanol C5h12o Pubchem

Solved When 2 Methylpropene Reacts With Water And An Acid Cata Chegg Com

Ppt Alcoholes Eteres Y Tioles Powerpoint Presentation Free Download Id
Http Colapret Cm Utexas Edu Courses Chap6 Pdf

Problema 51 Reacciones De Sustitucion Y Eliminacion Youtube

Diagram 1 Butanol Hcl Structural Diagram Full Version Hd Quality Structural Diagram Webbdiagrams Gyn Patho De

Reacciones De Alcoholes
Http Www Doiserbia Nb Rs Ft Aspx Id 1451 k

Reacciones De Alcoholes

Antiremed Kelas 12 Kimia O 2 Metil 1 3 Butadiena 3 1 4 Heksadiena 4 1 3 Heksadiena 5 Suatu Hidrokarbon Dengan Rumus C 6 H 12 Menpunyai Isomer Geometri Dan Bila Dioksi Pdf Document

Making A Halogenoalkane

Dr Hilmi Namli Organik Kimya Ders Notlari Bolum 4

2 Amino 2 Methyl 1 Propanol Hydrochloride Cas 37 12 3 Glentham Life Sciences

Sn1 Reaction Between 2 Methyl 2 Propanol And Hcl Youtube

What Is The Observation Occuring When 1 Propanol Is Warned With Dilute Acidified Potassium Brainly In

Adicion De Hcl Hbr Hi A Alquenos Regla De Markovnikov Youtube

Obtencion De Cloruro De Terbutilo

Problemas Transposicion De Carbocationes Youtube

Alcoholes Eteres Y Tioles Ppt Video Online Descargar

Sn1 Reaction Between 2 Methyl 2 Propanol And Hcl Youtube
Qmk Com Level Jimdo Com App Download Qu C3 8dmica Org C3 81nica Pdf T
Http Www Megep Meb Gov Tr Mte Program Modul Moduller Pdf Alkoller ve eterler Pdf

2 Amino 2 Methyl 1 Propanol Hydrochloride For Synthesis 37 12 3 Sigma Aldrich

Reacciones De Alcoholes

Sma Kristen Petra 5 Surabaya Ppt Download

Doc Reaksi Seny C Arif Imam Academia Edu

1 1 1 Trifluoro 2 Propanol Cas 374 01 6 Chemsrc

2metil 2propanol Nota 8 Studocu
Q Tbn And9gcs67t2cezirwsdolgl7lalj6ygwnejdiq53wu Usqp Cau

Dehydration Of 2 Methyl 2 Propanol To 2 Methylpropene E1 Mechanism Youtube

トップコレクション 2 メチル 2 プロパノール 塩酸

Alkoholi Natasa Stojanovic Jasmina Miljkovic

Nomenclatura Mecanismo Y Reacciones Quimica Organica Ii

Oneclass Ifthe Reaction Of 2 Methyl 2 Butanol Hcl To Give 2 Chloro 2 Methylbutane Is Conducted In

A Nucleophilic Substitution The Synthesis Of 2 Chloro 2 Methylpropane

Hasil Positif Atau Negatif Terhadap Tes Iodoform Senyawa Di Atas Brainly Co Id
3 Methyl 2 Pentanol Wikipedia

Alcoholes

Dehydration Of 2 Methyl 2 Butanol Also Called Tert Amyl Alcohol