Metodo Construccion
Comunicación y Contacto MÉTODO DE STANISLAVSKI EN LA CONSTRUCION DEL PERSONAJE Constantin Stanislavki Conclusion Facilita el proceso creativo tanto interior como exterior, proporcionando herramientas basicas para éste proceso, por lo tanto, proporciona un camino definido, clave,.
Metodo construccion. ELEMENTOS BASICOS DEL METODO CIENTIFICO LOS CONCEPTOS EJEMPLO 1 LAS CONSTRUCCIONES INFORMALES EJEMPLO 2 CONSERVACION DE LOS PAVIMENTOS EJEMPLO 3 RELACION AGUA – CEMENTO EJEMPLO 4 FIBRAS DE CERO EJEMPLO 5 RENDIMIENTO ACADEMICO LAS DEFINICIONES EJEMPLO 1 Varios criterios diferencian una vivienda informal de una formal El primero es el factor legal poseer un título de propiedad y una. A partir del análisis del método científico, desmitifica la ciencia mostrando que ésta no es el producto único y necesario de una racionalidad absoluta, sino que el desarrollo científicotécnico está. Tutorial que explica cómo dibujar un pentágono regular inscrito en una circunferencia dada, o cómo dividir una circunferencia en cinco partes iguales Método.
MÉTODO es un despacho de arquitectos, constructores, diseñadores y desarrolladores fundado por Bernardo García en Nueva York en 12 Actualmente está basado en la Ciudad de México. Construir un puente es una tarea compleja que requiere conocimiento y experiencia Varias variables, incluidas las restricciones de ingeniería, los costes y los impactos ambientales entran en juego al decidir qué método de construcción usar y qué tipo de puente construir. Trazado de un pentágono utilizando el método general.
5Otros Hay gran cantidad de más consejos en el libro de Stanislavski, alguno de ellos son la dicción y el canto (se puede apreciar muy bien en la escena en la que Riggan y Mike ensayan por primera vez y sus actuaciones cambian según cómo expresan sus frases), la contención y el control (Mike elimina lo innecesario para quedarse únicamente con la vida interna del personaje y, así. Para la creación de dispositivos electrónicos hay cuatro métodos comúnmente utilizados los cuales son protoboard, placa perforada, WireWrap y circuitos impresos, de estos dos últimos. MÉTODO Construcción, La Coruña 969 Me gusta · 32 personas están hablando de esto · 12 personas han estado aquí Empresa constructora multidisciplinar.
Construir un puente es una tarea compleja que requiere conocimiento y experiencia Varias variables, incluidas las restricciones de ingeniería, los costes y los impactos ambientales entran en juego al decidir qué método de construcción usar y qué tipo de puente construir. Casi todos los lugares de trabajo en construcción tienen lados y bordes sin protección, aberturas en la pared o agujeros en el piso en algún momento durante la construcción. AUA AUA0 (en) Unitised Building System AUA.
La unión de varios profesionales con amplia experiencia en el sector de la construcción, desarrollos urbanísticos e ingeniería, ha dado como resultado una nueva forma de construir, un nuevo M É T O D O orientado a la ejecución técnica de gran calidad, la seriedad y el compromiso, que permite que nuestros clientes disfruten de cualquier tipo de proyecto que tengan y quieran realizar. View ana lopez pardo’s profile on LinkedIn, the world's largest professional community ana has 1 job listed on their profile See the complete profile on LinkedIn and discover ana’s. Ve el perfil de Jorge Rocha en LinkedIn, la mayor red profesional del mundo Jorge tiene 5 empleos en su perfil Ve el perfil completo en LinkedIn y descubre los contactos y empleos de Jorge en empresas similares.
Este libro considera la ciencia como una construcción social e histórica y se plantea una pregunta de consecuencias de largo alcance ¿Qué tipo de verdad ofrece la ciencia?. En el siguiente tutorial, se abordarán los conceptos básicos del método de valor ganado y su aplicación en el Control de Obras de Constucción También se exp. CONSTRUCCION TOP DOWN El método constructivo denominado TOP DOWN, “Ascendente‐Descendente” consiste en construir inicialmente las paredes perimetrales y columnas de soporte de la estructura con muros pantalla o pilotes excavados, luego se excava hasta la cota inferior de la primera losa y se vacían las vigas y losa directamente sobre el.
EL PROCESO DE CONSTRUCCION DE MODELOS 3 EL PROCESO DE CONSTRUCCION DE MODELOS Desempeñamos un papel crucial durante la abstracción, la formulación del modelo, la interpretación y la ejecución de las decisiones Por eso es esencial 1 Que la situación problema pueda ser representada por modelos 2. MÉTODO Construcción 1,660 followers on LinkedIn Empresa constructora multidisciplinar Comprometidos con la correcta gestión empresarial basada en la calidad, innovación, seriedad y compromiso. View ana lopez pardo’s profile on LinkedIn, the world's largest professional community ana has 1 job listed on their profile See the complete profile on LinkedIn and discover ana’s.
En construccion Our Service Incididunt Lorem ipsum dolor sit amet, consectetu Consectetur Ut suscipit imperdiet Nisl, non vitae blandit Simsalabim Ut suscipit imperdiet nisl hest tempor Headline 1 Consectetur adipiscing elit Inscite autem medicinae et gubernationis ultimum cum ultimo sapientiae comparatur. En este video encontrarás información relevante, para que conozcas el método constructivo de las Viviendas de Emergencia y que tu experiencia en la actividad sea lo más agradable posible ). Manual virtual de especificaciones técnicas de construcción de edificaciones para el mejoramiento de vivienda popular, está compuesto por descripciones detalladas en los procesos constructivos y en los materiales usados dentro del campo de la construcción, que se han de necesitar para la elaboración de este tipo de proyectos y que irán sustentadas por las normas técnicas que rigen la.
Este libro considera la ciencia como una construcción social e histórica y se plantea una pregunta de consecuencias de largo alcance ¿Qué tipo de verdad ofrece la ciencia?. 2 OBJETIVOS 21 Objetivo generalLograr la apropiación del método Stanislavski teniendo en cuenta para ello la parte física del actor, su formación intelectual y su parte emocional22 Objetivos específicos1. Trazado de un pentágono utilizando el método general.
A partir del análisis del método científico, desmitifica la ciencia mostrando que ésta no es el producto único y necesario de una racionalidad absoluta, sino que el desarrollo científicotécnico está. ARP Metodo de construccion de unidades modulares ARA1 (es) Priority Applications (2) Application Number Priority Date Filing Date Title;. El proceso formal Este se refiere al método que se emplea en el estudio, se divide en Método deductivo Parte de una premisa general para obtener las conclusiones de un caso particularPone el énfasis en la teoría, modelos teóricos, la explicación y abstracción, antes de recoger datos empíricos, hacer observaciones o emplear experimentos.
2,461 Followers, 513 Following, 197 Posts See Instagram photos and videos from MÉTODO Construcción (@metodoconstruccion). MÉTODO DE SCENARIOS Y EJES DE SCHWARTZESCENARIOSTécnica que tiene por objeto definir un estado futuro, de un sistema conocido actualmente e indicar los distintos procesos, que permiten pasar del estado presente a la imagen futuraUN ESCENARIO ES Hipotético, Es selectivo, Es limitado, Está conectado1) La construcción de la base 2) La elaboración de escenarios propiamente dichaEN EL. MÉTODO Construcción, La Coruña 976 Me gusta · 3 personas están hablando de esto · 12 personas han estado aquí Empresa constructora multidisciplinar.
MÉTODOS TRADICIONAL Y MODERNO DE ENSEÑANZAAPRENDIZAJE INTEGRANTES SANDRA CARDENAS SADY FLORENTÍN RUBÉN MARTÍNEZ CARMEN SEGOVIA HÉCTOR SOSA MÉTODO DE ENSEÑANZA TRADICIONAL Su fundamento fue la escolástica, significa método y orden El profesor es el cimiento y condición del éxito. ETools eTool de Construccion Caidas ¿Estoy en Peligro?. La capa NaturSand® es muy resistente a la intemperie, está compuesta de arena compactada y totalmente adherida al soporte de hormigón, da la apariencia de arena de playa y es antideslizante tanto en seco como en mojado Posee un alto grado de flexibilidad que evita el agrietamiento, es agradable al tacto y posee un bajo coeficiente de acumulación térmica (no quema incluso a pleno sol).
MÉTODOS TRADICIONAL Y MODERNO DE ENSEÑANZAAPRENDIZAJE INTEGRANTES SANDRA CARDENAS SADY FLORENTÍN RUBÉN MARTÍNEZ CARMEN SEGOVIA HÉCTOR SOSA MÉTODO DE ENSEÑANZA TRADICIONAL Su fundamento fue la escolástica, significa método y orden El profesor es el cimiento y condición del éxito. El proceso formal Este se refiere al método que se emplea en el estudio, se divide en Método deductivo Parte de una premisa general para obtener las conclusiones de un caso particularPone el énfasis en la teoría, modelos teóricos, la explicación y abstracción, antes de recoger datos empíricos, hacer observaciones o emplear experimentos. Los métodos de construcción pueden clasificarse en dos grandes grupos, independientemente de cual sea el material instalado (hormigón, acero, etc) la construcción in situ, la prefabricación.
1 PREGUNTA PROBLEMA ¿Que es el método Stanislavsky y cómo el actor hace uso de sus emociones para desarrollarlo?. Para la creación de dispositivos electrónicos hay cuatro métodos comúnmente utilizados los cuales son protoboard, placa perforada, WireWrap y circuitos impresos, de estos dos últimos. En el siguiente tutorial, se abordarán los conceptos básicos del método de valor ganado y su aplicación en el Control de Obras de Constucción También se exp.
La capa NaturSand® es muy resistente a la intemperie, está compuesta de arena compactada y totalmente adherida al soporte de hormigón, da la apariencia de arena de playa y es antideslizante tanto en seco como en mojado Posee un alto grado de flexibilidad que evita el agrietamiento, es agradable al tacto y posee un bajo coeficiente de acumulación térmica (no quema incluso a pleno sol). MÉTODO DE SCENARIOS Y EJES DE SCHWARTZESCENARIOSTécnica que tiene por objeto definir un estado futuro, de un sistema conocido actualmente e indicar los distintos procesos, que permiten pasar del estado presente a la imagen futuraUN ESCENARIO ES Hipotético, Es selectivo, Es limitado, Está conectado1) La construcción de la base 2) La elaboración de escenarios propiamente dichaEN EL. Los métodos y materiales preferidos utilizados en la construcción de casas dependen del lugar donde se construye y del tipo de hogar deseado Cada tipo de hogar ofrece ciertas ventajas por encima de los otros, entre los que se incluyen aspectos como los costos, durabilidad y eficiencia energética Las compañías.
En construccion Our Service Incididunt Lorem ipsum dolor sit amet, consectetu Consectetur Ut suscipit imperdiet Nisl, non vitae blandit Simsalabim Ut suscipit imperdiet nisl hest tempor Headline 1 Consectetur adipiscing elit Inscite autem medicinae et gubernationis ultimum cum ultimo sapientiae comparatur. En nuestro sistema constructivo, necesitamos de la platea de la vivienda como elemento indispensable para la instalación Dejamos la vivienda nivelada, lista para que el comprador pueda luego realizarle, una carpeta y revestirla con los cerámicos, alfombra, etc (La superficie de la platea debe ser de las dimensiones la de la casa más una vereda perimetral de unos 50 cm, alrededor de toda. Las diversas clases de métodos de investigación Podemos establecer dos grandes clases de métodos de investigación los métodos lógicos y los empíricos Los primeros son todos aquellos que se basan en la utilización del pensamiento en sus funciones de deducción, análisis y síntesis, mientras que los métodos empíricos, se aproximan al conocimientodel objeto mediante sus.
Tutorial que explica cómo dibujar un pentágono regular inscrito en una circunferencia dada, o cómo dividir una circunferencia en cinco partes iguales Método. MÉTODO Construcción, La Coruña 954 likes · 67 talking about this · 12 were here Empresa constructora multidisciplinar. 2 OBJETIVOS 21 Objetivo generalLograr la apropiación del método Stanislavski teniendo en cuenta para ello la parte física del actor, su formación intelectual y su parte emocional22 Objetivos específicos1.
Están creciendo algunos sistemas que permiten mayor rapidez en la construcción de las casas. MÉTODOS TRADICIONAL Y MODERNO DE ENSEÑANZAAPRENDIZAJE INTEGRANTES SANDRA CARDENAS SADY FLORENTÍN RUBÉN MARTÍNEZ CARMEN SEGOVIA HÉCTOR SOSA MÉTODO DE ENSEÑANZA TRADICIONAL Su fundamento fue la escolástica, significa método y orden El profesor es el cimiento y condición del éxito. Construcción Método en A Coruña Empresa constructora multidisciplinar Obra pública y privada, edificación de obra nueva, rehabilitaciones e interiorismo, viviendas, residencias colectivas, edificios históricos, viviendas unifamiliares, locales comerciales, Teléfono, calle, mapa y más info de Método en A Coruña.
Tutorial que explica cómo dibujar un pentágono regular inscrito en una circunferencia dada, o cómo dividir una circunferencia en cinco partes iguales Método. Respecto a mi postura sobre el método científico en relación a la tecnología, tiene que ver con una postura crítica y reflexiva Existe una desconexión entre los fundamentos teóricos, los avances en el conocimiento y la aplicación de los conocimientos, la ciencia aplicada. AUA AUA0 (en) Unitised Building System AUA.
El método TiltUp es un sistema de construcción de muros delgados de concreto hechos en obra que se dividen en secciones, llamados paneles Estos son colados directamente sobre la losa del piso de la estructura o sobre una plataforma de trabajo para que una vez alcanzada su resistencia de proyecto sean izados con una grúa y colocados sobre los cimientos, formándose así la fachada de la. Docslideus william garcia metodo practico de dibujo e interpretacion de planos vol Kevin Pineda Download PDF Download Full PDF Package This paper A short summary of this paper 0 Full PDFs related to this paper READ PAPER. # construccion # edificacion # rehabilitacion # obra # coruña # metodoconstruccion We finish this with the start of a new construction site City Centre Real Estate Rehabilitation From @metodoconstruccion we want to wish you a happy 21!.
El proceso formal Este se refiere al método que se emplea en el estudio, se divide en Método deductivo Parte de una premisa general para obtener las conclusiones de un caso particularPone el énfasis en la teoría, modelos teóricos, la explicación y abstracción, antes de recoger datos empíricos, hacer observaciones o emplear experimentos. El método TiltUp es un sistema de construcción de muros delgados de concreto hechos en obra que se dividen en secciones, llamados paneles Estos son colados directamente sobre la losa del piso de la estructura o sobre una plataforma de trabajo para que una vez alcanzada su resistencia de proyecto sean izados con una grúa y colocados sobre los cimientos, formándose así la fachada de la. Trazado de un pentágono utilizando el método general.
En construccion Our Service Incididunt Lorem ipsum dolor sit amet, consectetu Consectetur Ut suscipit imperdiet Nisl, non vitae blandit Simsalabim Ut suscipit imperdiet nisl hest tempor Headline 1 Consectetur adipiscing elit Inscite autem medicinae et gubernationis ultimum cum ultimo sapientiae comparatur. En este video encontrarás información relevante, para que conozcas el método constructivo de las Viviendas de Emergencia y que tu experiencia en la actividad sea lo más agradable posible ). Ve el perfil de Jorge Rocha en LinkedIn, la mayor red profesional del mundo Jorge tiene 5 empleos en su perfil Ve el perfil completo en LinkedIn y descubre los contactos y empleos de Jorge en empresas similares.
Thank you all so much for the trust placed throughout this year in us #construccion #edificacion. ARP Metodo de construccion de unidades modulares ARA1 (es) Priority Applications (2) Application Number Priority Date Filing Date Title;. Docslideus william garcia metodo practico de dibujo e interpretacion de planos vol Kevin Pineda Download PDF Download Full PDF Package This paper A short summary of this paper 0 Full PDFs related to this paper READ PAPER.
1 PREGUNTA PROBLEMA ¿Que es el método Stanislavsky y cómo el actor hace uso de sus emociones para desarrollarlo?.

Nuevo Metodo De Construccion Construccion Trabajos De Albanileria Edificaciones

I Ir Segun El Metodo De Lo Percibido En Un Contrato De Construccion

Metodos Planeamiento Y Equipos De Construccion Metodos Planeamiento Y Equipos De Construccion Par Peurifoy R L R L Peurifoy Bien Tapa Dura 1963 1ª Ed Libreria Dante
Metodo Construccion のギャラリー

Construccion Y Tecnologia En Concreto Instituto Mexicano Del Cemento Y Del Concreto A C

Skyline Group Metodo De Entrega De Proyectos En La Construccion

Nuevos Metodos De Construccion Reducen Costos Arcus Global

Cuales Son Los Mejores Metodos De Fijacion En La Construccion Blog De Doorcats
Metodo Construccion Muros De Cierre De Hormigon Visto En Vivienda Unifamiliar Que Estamos Construyendo En Oleiros Construccion Edificacion Muros Hormigon Oleiros Coruna Www Metodoconstruccion Com Facebook

4 El Metodo De Proyectos

El Discurso Con Metodo Construccion De Guiones Creativos Para Magos La Magia De Armando De Miguel

Construccion Pesada 1 Linea 6 Metro De Santiago Metodo De Construc

Gestion Agil De La Construccion

Que Es La Construccion Pasiva I Metodo Crea

Metodo De Construccion Ppt Descargar

Papeleria Metodo De Construccion De Viviendas

Que Es El Proceso De Construccion De La Ciencia

Webinar Metodos Colaborativos En Construccion

Construccion Pentagono Conocido El Lado Metodo Particular Geomd

Metodo Conducido De La Construccion De La Pila Ilustracion Del Vector Ilustracion De Pila Conducido

Nuestros Clientes Metodo Construccion Distrito K

Un Acercamiento A La Construccion De Escenarios Como Herramienta Para La Planificacion Estrategica De La Cultura Fisica En Cuba

La Construccion De Edificios Y Casas Tambien Debe Cambiar A Un Metodo Mas Sostenible Futuro Verde

Sotano Constructivo Bajo Construccion Usando El Metodo Cortado Abierto Foto De Archivo Editorial Imagen De Metodo Construccion
Miguel Iscar Cifuentes Tecnico De Estudios Metodo Construccion Linkedin

Aplicacion Del Metodo Cientifico En La Construccion

Metodo De Construccion De Edificios Utilizando Hormigon Armado El Edificio Esta En Construccion Fotografia De Stock Alamy

Superestructura De Construccion Por El Metodo De Puesta En Marcha Incrementales Fotos Retratos Imagenes Y Fotografia De Archivo Libres De Derecho Image

Constructor Civil Pilas Perforadas Procedimientos De Construccion

Metodo Practico Para La Contabilidad De Costos Comprar En Todocoleccion

Identidad Corporativa Metodo Construccion A S Estudio
Metodo Construccion Linkedin

La Sustentabilidad Sensorial Como Vision Y Metodo De Construccion

Nuevo Metodo Austriaco De Tuneles Natm Shotcrete Creciendo De La Mano Putzmeister

Metodo Agujereado De La Construccion De La Pila Ilustracion Del Vector Ilustracion De Construccion Metodo

Seleccion De Los Metodos De Construccion En Proyectos Un Problema De Conocimiento Journal Of Construction Engineering And Management Vol 140 No 4

Metodo De Gestion De Construccion De Interiores Input Design

M E T O D O Construccion

Indican Que Los Nuevos Metodos De Construccion En Seco Son Mas Baratos Que Los Tradicionales Informe Construccion

Papeleria Metodo Practico Para Elaboracion De Presupuestos De Construccion

Empieza La 2ª Fase Del Metodo Promir La Fase De Construccion Blog Promir

Edilizia Metodo Empresario Para Agilizar La Construccion Nodocios El Canal De Emprendedores

Metodos Cientificos De Indagacion Y Construccion Del Conocimiento Spanish Edition Rodriguez Jimenez Andres Perez Jacinto Alipio Omar Amazon Com Books

La Investigacion Como Un Proceso De Construccion Social Fundamentos De La Investigacion

Impactos Ambientales Durante La Construccion Ecohabitar

Nueva Direccion De Nuestras Oficinas M E T O D O Construccion

Sistema Tilt Up El Metodo Preciso Para Una Construccion Perfecta Constructoras De Naves Industriales En Queretaro Construccion De Oficinas Constructora De Plazas Comerciales Diseno Y Construccion De Casas Y Residencias Tel

Unidad 3 El Metodo En La Construccion Del Conocimiento By Mayra Carrillo On Prezi Next

Lean Construction Un Metodo Ideado Para Facilitar La Planificacion De Las Obras De Construccion Arquitectura Tecnica Y Edificacion
Metodo Construccion Metodo Construccion Les Informa Que Nuestra Estancia En Avenida Oza Ha Llegado A Su Fin Metodo Construccion Continua Con Su Crecimiento Como Equipo Y Como Empresa Y En Unos

La Construccion Con Tierra En Arqueologa Teora Metodo Te Con Ofertas En Carrefour Las Mejores Ofertas De Carrefour

Como Es El Wood Frame Un Metodo Racional Y Popular La Voz

Nuevos Metodos De Construccion Requieren Menor Inversion A Los Convencionales Revista Constructivo

Identidad Corporativa Metodo Construccion A S Estudio
Metodo Construccion 811 Photos Construction Company Rua Costa Da Union 2 1b A Coruna Spain

Gestion De Proyectos En Construccion Utiliza El Metodo Lean

Un Nuevo Metodo Para La Construccion De Portafolios El Caso Mexicano

Que Es El Proceso De Construccion De La Ciencia

2 Metodo Por Construccion Como Entender Y Hacer Demostraciones Youtube

Construccion Del Metodo Ppgis Fuente Elaboracion Propia Download Scientific Diagram

Los Nuevos Metodos De Construccion Son Tres Veces Mas Baratos Que Los Tradicionales Bae Negocios

Metodo De Construccion De Piscinas Piscinas De Arena Natursand

Seleccion De Los Metodos De Construccion En Proyectos Un Problema De Conocimiento Journal Of Construction Engineering And Management Vol 140 No 4

Arquitectura Un Metodo Para Construccion De Espacio Portavoz

Pdf La Historia Y Su Construccion Teoria Y Metodo

Avance De Obras M E T O D O Construccion
Metodo Construccion 813 Fotos Empresa De Construccion Rua Costa Da Union 2 1b La Coruna Espana
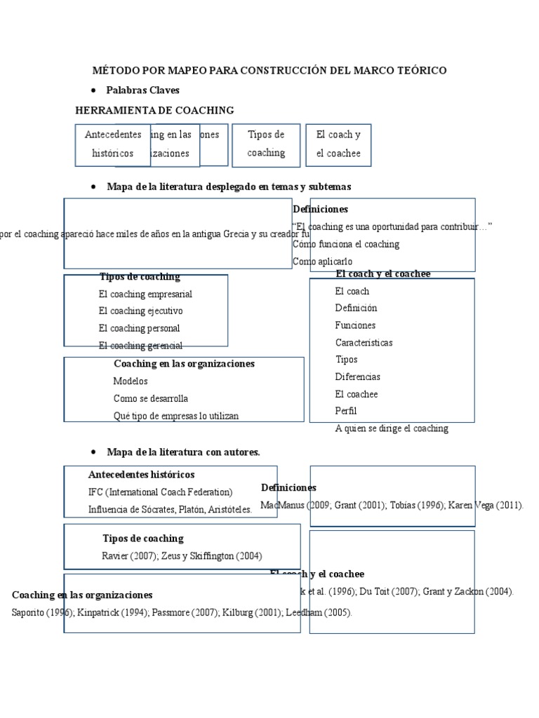
Metodo Por Mapeo Y Por Indice Para Construccion Del Marco Teorico Recursos Humanos Cognicion

Nuevo Metodo Austriaco De Tuneles Natm Shotcrete Creciendo De La Mano Putzmeister

Mercado Boanerges M E T O D O Construccion

Javier Gomez Nuestro Metodo De Construccion Es Accesible En Calidad De La Vivienda Y En Lo Economico Agroactualidad

Nuevos Metodos Modernos De Construccion Y Sus Ventajas

Efecto Del Metodo Construccion Global En El Aprendizaje Del Braille Spanish Edition Olivera Pasmino Jhonatan Gomez Diaz Adriana Ynes Amazon Com Books

Sistema De Construccion De Tuneles Metodos Y Herramientas De Excavac

Como Este Innovador Metodo De Construccion Esta Apoderandose De La Industria De La Construccion

El Nuevo Metodo Relampago De Construccion Mas Practico Que Todos Los Expertos Deben Saber Bricolaje Facil Para Todos

Metodos Modernos De Construccion Timber Frame En Espana

Metodo General De Construccion De Teoria Download Scientific Diagram

Construccion Poligonos Regulares Metodo General

Solo 2 De La Industria De La Construccion Utiliza Metodo Lead Construction

Metodo De Construccion Iii On Vimeo

Identidad Corporativa Metodo Construccion A S Estudio

Construccion De Tuneles Mediante El Nuevo Metodo Austriaco El Blog De Victor Yepes

El Metodo Para Disfrutar De Una Obra La Opinion De A Coruna

Metodo De La Ruta Critica Y Sus Aplicaciones A La Construccion 2a Edicion Limusa Libreria Pensar

Andaina Sistemas Informaticos

La Sociologia Construccion Categorial Objeto Y Metodo Tapa Blanda Sociologia El Corte Ingles

Cuales Son Los Metodos Basicos De Planificacion En Construccion Clase Ejecutiva

Constructivo Arriba A Abajo Construcaocivilmetodo Animacion T Lawton De Arriba Hacia Abajo Metodo De Construccion 3animacion En Tercera Dimension Por T Lawton Engineer Luca Bellini Repost Construcaocivil

Seleccion De Los Metodos De Construccion En Proyectos Un Problema De Conocimiento Journal Of Construction Engineering And Management Vol 140 No 4

Metodos De Construccion Sgr Galeria

El Mejor Metodo De Construccion Cmovalencia Lean Construction Youtube

Metodo 5 S En La Construccion Youtube

Metodos No Tradicionales De Construccion De Viviendas En Uruguay Ahorrar Com Uy

El Diario Pobres Metodos De Construccion Provocan Fallas En Estructuras
Metodo Construccion 811 Photos Construction Company Rua Costa Da Union 2 1b A Coruna Spain

Contratos De Construccion A Largo Plazo En El Caso
Metodo Construccion 814 Fotos Empresa De Construccion Rua Costa Da Union 2 1b La Coruna

Metodo De Construccion Casas De Madera De Ecoandeco

M E T O D O Construccion

Metodo Aleman De Construccion De Tuneles El Blog De Victor Yepes